发布时间: 2025-12-24 07:46:54
2021年5月16日,在《UItrasound in Obstertrics& Gynecology》上一篇名为“Crown-rump length measurement error: impact on assessment of growth”的研究论文被发表,本研究旨在探讨孕早期胎儿头臀长(CRL)测量误差对后续生长超声检查中胎儿估计体重(EFW)结果解读及胎儿生长发育分类(小于胎龄儿、大于胎龄儿、适于胎龄儿)的影响。
一、研究背景
2021年5月16日,在《UItrasound in Obstertrics& Gynecology》上一篇名为“Crown-rump length measurement error: impact on assessment of growth”的研究论文被发表,本研究旨在探讨孕早期胎儿头臀长(CRL)测量误差对后续生长超声检查中胎儿估计体重(EFW)结果解读及胎儿生长发育分类(小于胎龄儿、大于胎龄儿、适于胎龄儿)的影响。
二、研究方法
我们首先展示孕龄估算中2天的差异如何影响孕中期胎儿被划分为AGA(适于胎龄儿)或EFW<第10百分位数的SGA(小于胎龄儿)。随后说明这种差异可能源于孕早期CRL测量值被低估3毫米,从而导致孕20周扫描时孕龄出现2天误差。在阐明这一机制后,我们进一步分析CRL测量误差为±2毫米、±3毫米和±4毫米时,对原本应精确落在第10和第90百分位数的EFW测量值百分位等级产生的影响。我们描述了一个简单的测量误差模型:CRL测量值由真实CRL与测量误差共同构成,并通过标准差(SD)量化测量误差的变异程度。基于此模型,我们提出了测量误差标准差的建议限值,并与近期文献16中得出的标准差进行了比较。
三、主要结果
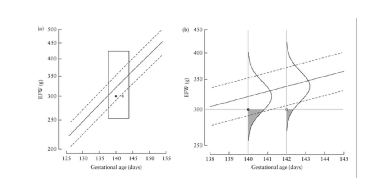
1.不同孕龄的估计胎儿体重
为了说明孕周差异如何影响胎儿被归类为AGA或SGA的过程,例如胎儿的估计胎儿体重(EFW)为300克,分别按孕龄20+0周(140天)和20+2周(142天)来解读(见图1)。在140天时,300克的测量值(图1中以实心圆表示)远高于第10百分位数,并被解读为AGA。142天时,同样的测量标准会被解释为SGA。图1b显示了EFW在140天和142天的参考分布。300克在140天后测量的百分位排名为19%。同一测量在142天时的百分位排名为6%。
2.第一孕期头顶-臀部长度测量误差的影响
孕早期CRL测量的误差导致了上述和图1所示的差异。例如,假设CRL的真实测量值为65毫米,给出孕早期扫描时的孕周为90天。根据该方法,20+0周扫描应安排在50天后,孕龄为140天。但如果测量不足3毫米,导致CRL测量为62毫米而非65毫米,孕周为88天而非90天,则20 + 0周扫描将安排在52天后,孕周为20 + 2周。本次扫描时EFW为300克,则在20 + 0周时被评估为AGA。真正的解释应是在20+2周(142天)时,并被归类为SGA。
为研究14至42周孕周不同产检时间点的CRL测量误差的影响,我们对孕早期CRL测量应用0毫米、±2毫米、±3毫米和±4毫米的误差,并计算了实际孕周下测量值排名第10以及第90的百分位排名。结果见图2,表1显示了20周、32周和36周时的结果。对于负性误差,EFW值会被解读为对应更早的孕龄,更易被判定为AGA。对于正误差,EFW值会被解读为对应更晚的孕龄,胎儿偏小的程度看起来会更严重。图2的一个显著特征是,测量误差的影响随着孕周年龄的增加而减小。这是因为在妊娠早期,百分位曲线更陡峭,误差传播率更高。图2表明2毫米及以上的误差可能对临床管理产生重要影响。这引发了一个问题:此类错误发生的频率,以及更广泛地说,临床实践中遇到的错误分布如何。
在某些环境中,临床管理还通过胎头头围(HC)的测量(EFW的组成部分)以及孕中期扫描的标准生物测量来确定。小头围与染色体异常、遗传综合征、中枢神经系统畸形及其他不良结局相关;HC越小,风险越高.因此,额外的诊断程序和家长咨询依赖于头顶百分位,胎儿腹周(AC)同样适用相同的效果、信息和额外检查的适应症股骨长度(FL)百分位数。CRL误差对HC、AC和FL百分位数的影响如图3所示。
3. 头冠-臀长测量误差分布
已有大量研究通过一致性极限、操作者间差异的标准差、方差组分及组内相关系数等指标来量化CRL的测量误差变异性。这些研究结果涵盖了同一超声医师多次测量的观察者内部差异,以及不同超声医师测量的观察者间差异的结果。本文采用了测量误差模型,假设CRL测量由真实CRL和测量误差的总和组成,关系为:测量CRL=真实CRL+误差。该模型中的测量误差包括观察者内部和观察者间的误差。我们假设测量误差遵循均值为零的高斯分布,且标准差为1毫米、2毫米和4毫米对应的分布如图4所示。表2显示了这些误差标准差对应的测量误差95%界限、差值标准差、95%的一致性极限及组内相关系数。组内相关系数表示真实CRL的方差(即标准差的平方)占测量CRL方差的比例。真正的CRL的方差会根据不同环境而异。对于表2,真实CRL适用于45至84毫米范围内的均匀分布,对应11至14周的妊娠周数;对于23至84毫米范围内的均匀分布,对应9至14周的妊娠周。
四、文章小结
鉴于CRL测量误差仅2毫米的广泛且潜在严重后果对临床评估、患者管理和研究结果的影响,亟需提高对CRL测量误差影响的认识,并通过标准化和质量控制减少测量误差的变异。







下一篇:遗传学视角下的FABP4与心血管事件:未发现直接因果关联