发布时间: 2026-04-08 21:16:18
1 导读
全球气候变暖导致的永久冻土融化以及古代微生物潜在的“实验室泄漏”,给现代生态群落带来了生物入侵的风险,并可能引发病原体暴发的威胁。然而,这些“时间旅行”病原体能否在现代群落中定植及其潜在的生态破坏机制目前尚不明确。由于相关经验数据过于匮乏,既往探讨多停留在理论推测阶段,鲜有研究能够设计出涵盖多物种演化时间尺度的实验来验证相关假设。
2023年7月,欧盟委员会联合研究中心Giovanni Strona团队在PLOS Computational Biology发表了一项计算机模拟人工生命演化的研究 ,结果显示入侵的古代病原体通常能够存活并继续进化,少数(3.1%)能在被入侵的群落中占据极大优势;尽管入侵者通常对群落组成的平均影响较小,但在极少数不可预测的情况下(1.1%),它们会导致自由生物的丰富度出现显著下降(高达32%)或增加(高达12%)。研究得出结论,鉴于释放到现代环境中的古代微生物数量极其庞大,即使病原体引发灾难性暴发的概率很低,依然构成了实质性的严重生态风险。
2 研究方法
本研究采用基于人工生命软件Avida的计算机模拟演化实验设计。研究主要将从单一自由生活祖先演化而来的数字化细菌样宿主及病毒样病原体作为对象,并排除了在入侵事件发生前病原体已经灭绝的模拟批次以控制偏倚。在分组与干预方面,研究运行了两组平行的模拟:对照组在250000个更新周期(updates)内自由演化不加干预;入侵组则在群落演化至150000到200000个周期时,将过去(第50000至150000周期)随机提取的一小批古代病原体接种到当前群落5%的网格中。研究的主要结局指标为病原体的持久性(定义为入侵者及其后代在入侵后成功存活的周期数)以及多样性变化(通过计算对照组和入侵组在前2500个更新周期内自由生物物种丰富度时间曲线下的面积差异百分比来获取)。
针对群落多样性变化和持久性这两个主要结局指标,研究主要采用非参数统计及Spearman秩相关系数分析单一入侵特征与入侵结局之间的关系。此外,作者采用了随机森林回归模型(Random forest regression)对持久性和绝对/相对多样性变化进行多变量预测分析。由于生态系统中的物种演化和宿主-病原体共同进化涉及高度复杂、非线性的交互反馈机制(如环境与资源利用的多样性网络),普通的线性预测难以捕捉其动态特征,而随机森林算法能够有效处理此类高维度变量并评估各预测因子对入侵结局的相对重要性。
3 研究结果
入侵成功的概率:平均而言,古代入侵者的存活时间超过了33.6%的本地原生病原体,且有3.1%的古代病原体表现出极高的适应性(存活超过50000个周期),考虑到其初始丰度仅占病原体总数的0.03%,该结果在统计学上极显著(P值接近0)。这表明时间旅行入侵者在进化时间尺度上拥有很高的定植和持续存在的概率(图2、图3)。
时间旅行入侵者对群落的影响:整体而言,入侵组的自由生物多样性平均相对差异较小(平均波动为0.3%),但在入侵者存活超过50000个周期的模拟中,观察到了高达31.9%的丰度显著下降和12.0%的增加。这表明虽然大多数入侵尝试对宿主多样性影响轻微,但极少数高度持久的入侵会引发巨大的生态破坏或不可预测的改变(数据来源:图4、附图1、附图2)。
入侵模拟与背景预期的多样性变化比较:在消除了单纯随机波动的对照验证中,入侵-对照组之间的多样性变化幅度是单纯对照-对照组(即无入侵)波动的2.5倍,且31.6%的高持久性入侵导致的丰度下降显著超过了背景波动的第95个百分位数。这提供了强有力的统计学证据,证明入侵模拟中观察到的群落多样性剧变确实是由古代病原体直接驱动的(数据来源:附图3)。
时间旅行入侵与现代病原体富集的多样性变化比较:引入古代病原体引发的多样性平均变化范围是随机引入同代病原体引发的变化范围的1.9倍。这表明古代病原体与现代原生群落之间的深远“进化时间代沟”是决定大规模生态变化的根本原因,而非仅仅因为病原体密度的突然增加(数据来源:附图3)。
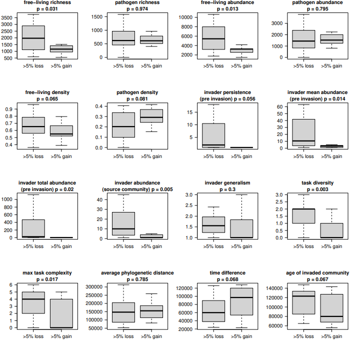
解释入侵成功及其对被入侵群落的影响:古代病原体在过去演化史中的成功度(如来源丰度,相关系数r=0.47)及任务复杂性(r=0.56)与其在现代的持久性呈正相关,而现代原生群落的病原体密度(r=-0.36)和自由生物密度(r=-0.25)则对其产生负向抑制;此外,引起显著多样性下降的情况均发生在中高持久性入侵中,而多样性增加仅在失败的短暂入侵中出现(P < 0.001)。这表明曾在历史中高度复杂且占据优势的病原体存在最大的破坏风险,而致密且多样化的现代群落更能抵抗其入侵(数据来源:图5、图6、附图4、附图5)。
预测入侵者的持久性及潜在影响:随机森林模型对病原体持久性、相对多样性变化及绝对变化的方差解释度仅为19.2%、12.4%和18.0%,分析指出原生寄生虫的多样性和密度是最重要的预测变量。这表明尽管能识别出具有缓冲作用的群落特征,但因生态演化反馈的高度复杂性,准确预测特定古代病原体入侵的具体结局仍然极具挑战性(数据来源:附图6)。
4 舟舟点评
研究前证据:在全球气候变暖加剧的环境下,冰川和永久冻土消融释放古代病原体(或实验室古代菌株泄漏)的潜在风险近年来在学界引起了广泛关注。然而,此类威胁在科学界的讨论大多局限于理论推断和基于极少数短暂微生物复苏实验的猜想。因现实中极难获取大跨度进化周期的生态数据,学术界始终缺乏系统层面的实证证据来探讨病原体的时空穿越对现有自由生物群落丰富度的具体生态演化机制和定量影响。
研究附加值:本研究的独特附加值在于其创新性地引入了人工生命模拟平台(Avida),在宏大的微观演化时间尺度(数十万个繁衍更新周期)内建立了一套可靠且可控的数字孪生(digital twins)实验模型。该工作不仅填补了这一领域的实证量化空白,证实了“黑天鹅”式的低概率灾难性事件在生物学机制上是完全合理且毁灭性的(最高可抹杀三分之一的生态位),而且通过控制随机变量,厘清了导致病原体长期留存及影响宿主的关键参数(如病原体的进化断代程度、往昔竞争优势),为该领域的病原学研究提供了新颖且强大的基准模型。
对现有证据的影响:本项发现深刻改变了现有针对外来物种入侵防御策略的重心,提示政策制定者和公共卫生管理机构不能单纯因为古生病原体感染现代生物的“小概率”而盲目乐观。极其庞大的冻土释出基数意味着小概率极有可能演变成现实挑战。在公共实践方面,本研究证实了现代生态群落(包括共生的非致死性原生寄生虫网络)的多样性和密度是抵御时间穿越者的重要天然屏障。这为未来的生态保护政策提供了重要的指导依据:加强现有生物群落完整性的保护不仅是维持生态功能的需要,更是筑牢地球生态防线、应对未来未知古老致病原威胁的核心公共卫生防护网。未来的研究应在此框架基础上,进一步结合多模型人工生态系统与真实环境冻土采样数据进行多维度融合验证。












下一篇:Bootstrap重采样+多重校正|1718例MDD患者焦虑与自杀风险的统计“组合拳”