发布时间: 2026-01-19 08:01:46
1、导读
痴呆症(尤其是阿尔茨海默病)是导致老年人残疾和进入长期护理机构的主要原因,目前美国有超过500万患者。尽管银杏叶提取物因其抗氧化和抗淀粉样蛋白聚集的潜在机制被广泛用于改善记忆,但全球尚无获批用于痴呆症一级预防的药物。既往的临床研究规模较小、随访时间短,且多集中于已患病人群,缺乏大样本、高统计效力的随机对照试验来验证其在预防痴呆发生方面的安全性和有效性。
2008年11月,维吉尼亚大学(第一作者单位)Steven T. DeKosky教授团队在JAMA(《美国医学会杂志》,中科院1区,)发表了一项随机、双盲、安慰剂对照临床试验(GEM研究),结果显示:在随访中位时间为6.1年的观察期内,每日两次服用120mg银杏叶提取物并未能有效降低老年人的痴呆发生率 。研究最终得出结论,银杏叶提取物不能推荐用于预防痴呆或阿尔茨海默病。
2、研究方法
本研究是一项多中心、随机、双盲、安慰剂对照临床试验。研究纳入了3069名年龄在75岁及以上、认知功能正常(n=2587)或伴有轻度认知障碍(MCI,n=482)的社区志愿者 。受试者被随机分配接受每日两次、每次120mg的银杏叶提取物EGb 761或外观完全相同的安慰剂治疗。主要结局指标是根据DSM-IV标准确诊的痴呆发病情况,诊断过程由专家小组在严格屏蔽治疗分配信息的情况下,结合神经心理学量表(如3MSE、ADAS-Cog、CDR)评分下降情况及MRI影像资料进行共识裁定。
统计分析采用了意向性治疗(ITT)原则。主要分析使用对数秩检验(log-rank test)比较两组间痴呆发生的风险,并利用Cox比例风险模型计算风险比(HR),同时通过Schoenfeld残差检验比例风险假设的有效性 。研究者采用该算法是为了处理长达6.1年的随访过程中因死亡或失访导致的删失数据,并评估治疗干预对发病时间分布的影响。
3、研究结果
基线特征均衡性
两组受试者在年龄(均值79.1岁)、性别、受教育程度、心血管病史以及初始认知量表评分方面均无显著统计学差异。这说明随机化过程非常成功,消除了潜在协变量对结局指标的干扰。
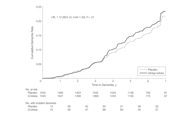
全因痴呆发生率
在研究期间共确诊523例痴呆,其中银杏组277例(17.9%),安慰剂组246例(16.1%),两组间差异无统计学意义(HR 1.12, 95% CI 0.94-1.33; P=.21)。结果表明,每日240mg的银杏叶提取物并不能预防或延迟全因痴呆的发生。
阿尔茨海默病(AD)发病风险
银杏组与安慰剂组在AD发病率上亦未表现出显著差异(3.0/100人年 vs 2.6/100人年; HR 1.16, 95% CI 0.97-1.39; P=.11)。这证明了银杏叶提取物对于特定类型的阿尔茨海默病同样没有预防作用。
轻度认知障碍(MCI)进展
银杏叶提取物对于基线存在MCI的受试者进展为痴呆的速率也没有显著影响(HR 1.13, 95% CI 0.85-1.50; P=.39)。该结果否定了银杏叶提取物在痴呆高风险人群中具有二级预防价值的假设。
安全性与严重不良反应
两组在死亡率(HR 1.04; P=.72)、重大出血事件(HR 0.97; P=.81)以及中风等严重不良事件的发生率上基本持平。尽管银杏组的出血性中风案例(16例)多于安慰剂组(8例),但因样本量较小,差异不具显著性。
4、舟舟点评
研究前证据: 在本研究开展前,银杏叶提取物虽在体外实验和动物模型中显示出抗氧化及抗淀粉样蛋白作用,但在临床端,Meta分析和Cochrane系统评价的结果并不一致,且缺乏大样本的一级预防试验数据。
研究附加值: 作为全球首个针对该领域、样本量最大(超过3000人)且随访时间最长(中位6.1年)的随机临床试验,本研究使用了标准化的药物配方(EGb 761),通过严格的专家共识和专家评审机制确保了结局判定的准确性,为银杏叶提取物的有效性评价提供了最高级别的临床证据。
对现有证据的影响: 本研究有力地反驳了银杏叶提取物能够预防痴呆的普遍认知,直接导致了相关指南和临床建议的调整。基于这一极其严谨的科学证据,目前已不再推荐老年人通过服用银杏制剂来预防阿尔茨海默病或认知衰退。





上一篇:临床药物审查在多重用药老年人中的成本-效用与成本-效果分析(DREAMeR研究经济评价)