发布时间: 2025-11-19 06:55:06
导读:
高质量的囊胚对于成功的妊娠至关重要,但在临床实践中,影响其形成的因素尚不完全清楚,且缺乏可用于早期临床的预测模型。抗核抗体(ANA)在不孕患者中很常见,并可能显著影响胚胎质量。既往的囊胚预测模型多依赖于取卵后才能获得的实验室数据(如获卵数、卵裂期胚胎形态学),这限制了其早期临床应用。因此,本研究旨在评估ANA滴度对囊胚质量的影响,并建立一个基于取卵前基线特征的早期预测模型。
2025年11月,南京医科大学附属妇产医院的Chun Zhao教授和Kai Ding、Yidan Chen教授团队在Journal of Ovarian Research发表了一项回顾性研究。结果显示,女性年龄、AMH水平、基础窦卵泡计数(AFC)、ANA滴度以及自然流产次数是优化囊胚发育的独立预测因素。基于这五个易于获取的基线特征构建的预测模型具有可接受的临床预测能力,有助于在胚胎培养前对不孕患者进行个体化诊疗。
研究方法
本研究是一项回顾性研究。纳入标准为:(1)首次IVF/ICSI周期;(2)使用自体卵母细胞;(3)进行了囊胚培养。排除标准包括未进行ANA滴度检测、染色体异常、卵巢手术史、放化疗史、自身免疫性疾病、D3胚胎移植或冷冻等。研究人群根据高质量囊胚率(定义为高质量囊胚数/总囊胚数)被分为两组:优化囊胚发育组(OBD组,高质量囊胚率≥50%)和次优囊胚发育组(SBD组,高质量囊胚率<50%)。本研究的主要结局指标是高质量囊胚率,高质量囊胚根据Gardner分级系统定义为发育到第5或第6天的3BB及以上级别囊胚。
研究首先通过单变量分析(P<0.1)筛选潜在的预测变量。随后,采用随机森林(RF)、LASSO和XGBoost三种机器学习方法对这些潜在变量进行进一步筛选,取三种方法筛选出的共同变量作为关键预测因子。最后,使用多变量逻辑回归模型构建预测模型,并通过ROC曲线(计算AUC)、校准曲线及Hosmer-Lemeshow检验来评估模型的歧视度、准确性和拟合优度。
研究结果
患者特征
在纳入的2,876名患者中,1,725名被分入训练集,1,151名被分入验证集,两组基线特征无统计学差异(P>0.05)。在训练集中,通过比较OBD组和SBD组,筛选出15个潜在影响因素(P<0.1),包括女性年龄、AMH水平、AFC、ANA滴度、自然流产次数、不孕年限、基础LH水平、T水平、FSH水平、FSH/LH比值、精子浓度、正常形态率、男性年龄、不孕类型和月经周期长度。这些结果表明,这15个因素可能与囊胚发育结局相关。
预后预测性能
通过RF、LASSO和XGBoost三种机器学习方法对上述15个潜在因素进行筛选,最终鉴定出五个共同的关键预测变量:女性年龄、AMH、AFC、ANA滴度、自然流产次数。在纳入了促排卵结局相关指标(如HCG日激素水平和卵泡数)后,这五个基线变量在LASSO回归中仍然是优化囊胚发育的独立因素。该结果表明,这五个基线变量是影响囊胚质量的独立预测因子。(图 1)
图1 通过四种方法筛选Wayne图变量
优化囊胚发育预测模型的构建与验证
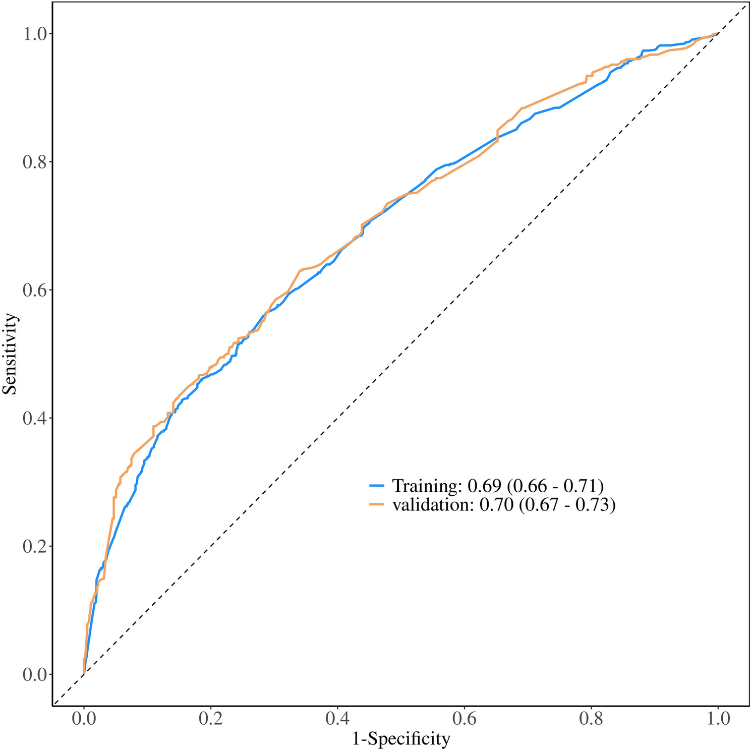
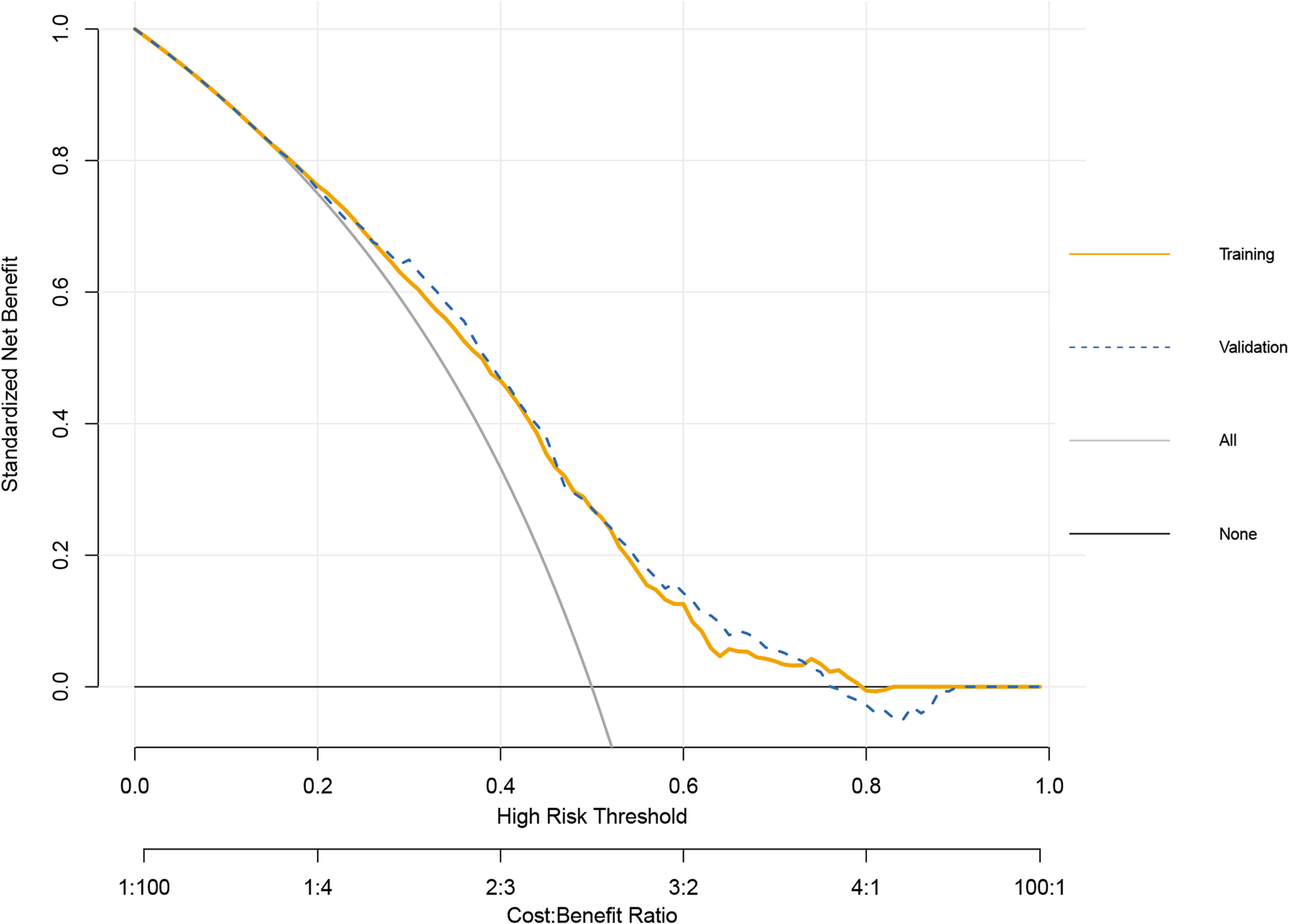
基于上述五个关键变量的多变量逻辑回归模型显示,在训练集中,模型的AUC为0.69(95% CI: 0.66-0.71),在验证集中,AUC为0.70(95% CI: 0.67-0.73)。训练集和验证集的校准曲线(Hosmer-Lemeshow检验P值分别为0.735和0.099)均显示预测概率与实际概率高度一致。决策曲线分析(DCA)也表明该列线图模型具有良好的临床净收益。这些结果证实,该预测模型具有可接受的预测性能和良好的准确性,可用于临床。(图 2, 图 3, 图 4, 图 5)
图2 用于预测最佳囊胚发育的列线图可视化
图3 采用ROC曲线预测训练集和验证集中囊胚最佳发育的发生情况
图4 用于预测训练集和验证集中最佳囊胚发育的列线图的校准曲线。a.训练集中的校准曲线。b.验证集中的校准曲线
图5 对预测训练集和验证集中囊胚最佳发育情况的列线图进行决策曲线分析 (DCA)
舟舟点评
(1)在辅助生殖领域,高质量囊胚是获得妊娠的关键,但延长培养亦有发育停滞和周期取消的风险。现有的囊胚发育预测模型多依赖于取卵后才能获得的指标(如获卵数、D3胚胎形态学),或局限于PGT周期,难以在治疗早期为患者提供指导。虽然ANA在不孕人群中常见(约20%)并被认为与胚胎质量下降(如囊胚形成率降低)相关,但ANA滴度作为囊胚质量的早期、独立预测指标的潜力尚未被充分探讨。
(2)本研究首次明确了ANA滴度(≥1:80为风险因素)可作为预测高质量囊胚形成的独立早期预测因子。研究团队利用三种机器学习方法筛选关键变量,并结合其他四个易于获取的基线特征(女性年龄>38岁、AMH<1.81 ng/mL、AFC<8为风险因素,而自然流产次数增加为保护因素),构建并验证了一个可在取卵前使用的预测模型(AUC≈0.70)。此研究将免疫学指标(ANA)纳入了囊胚质量评估体系,为临床提供了一个新的、更早的预测工具(列线图)。
(3)本研究的结果提示,ANA筛查对于不孕患者(即使没有明确的自身免疫性疾病)具有重要意义,因其不仅可能影响着床,更在胚胎早期发育阶段(囊胚形成)中扮演了预测角色。该模型使临床医生能够在胚胎培养开始前,识别出囊胚发育不良的高风险患者,从而进行更具个体化的咨询和干预(例如,是否进行ANA相关治疗的决策)。这补充了依赖于D3胚胎形态的“中途”预测模型,将预测窗口显著提前,对优化临床决策和患者管理具有实践价值。





