发布时间: 2025-06-04 10:04:00
2024年12月31日,在《Plos one》上一篇名为“Network meta-analysis of the efficacy of endoscopic cardia peripheral tissue scar formation (ECSF) in the treatment of gastroesophageal reflux disease”的研究论文被发表,本综述和荟萃分析旨在评估和比较内窥镜下贲门外周组织瘢痕形成(ECSF)手术期间抗反流治疗的安全性和有效性。
一、研究背景
胃食管反流病(GERD)是世界范围内普遍存在的胃肠道疾病,全球患病率为13.3%。中国GERD的患病率为12.5%,最近发病率呈上升趋势。反流与食管抗反流解剖屏障之间的不平衡是GERD发病机制的主要原因。由于胃灼热、反流或吞咽困难等症状及其相关的长期并发症,大多数患者的生活质量会下降。GERD显着影响患者的身体、心理和社会福祉以及工作效率,构成沉重负担。既往研究表明,所有内窥镜下贲门外周组织瘢痕形成(ECSF)手术对RGERD患者均具有良好的疗效;然而,比较三种手术疗效的研究仍然很少报道。本研究旨在比较各种ECSF手术对GERD患者的疗效。
二、数据来源
我们使用中国国家知识基础设施、万方数据库、PubMed、Embase和Web of Science数据库全面检索了1990年1月至2024年1月发表的文章。使用的语言是英语和中文。检索关键词如下:((ARMS)(抗反流粘膜切除术) 或(ARMA)或(抗反流消融)或(PECC)或(心脏收缩)或(射频)或(纹状)或(抗反流手术)或(内窥镜治疗))和((GERD)或(胃食管反流病)或(食管反流))。对相关评价和meta分析的参考文献进行了审查,以确保没有遗漏相关研究。
三、研究方法
使用STATA 14.0对纳入文献进行统计分析,分类变量用比值比(OR)和95%置信区间(CIs)描述。连续变量表示为平均差(MD)和95%。在闭环的情况下,使用逐节点拆分方法对每个结果评估一致性假设。<0.05的p值被认为具有统计学意义。当没有闭环时,不需要一致性检查。采用累积排名下的表面(SUCRA)对结果指标进行分析和排序,我们利用漏斗图来评估发表偏倚的风险和研究效果,特别是当结果指标包含10多项研究时。
四、主要结果
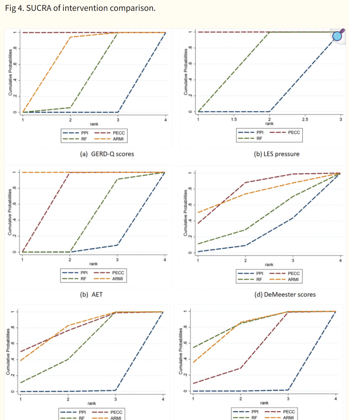
1.GERD-Q分数
7篇论文报告了ECSF后GERD-Q评分的变化。图3A中提供的证据网络显示,RF组具有最大的节点,代表最大的样本量,以及RF和ARMI的两个节点之间的最粗线段,代表比较RF和ARMI的研究数量最多。不一致检验(p = 0.915)和淋巴结分裂方法显示研究之间具有良好的一致性且无异质性(p>0.05)。因此,采用一致性模型进行分析。
每种处理的SUCRA如下:PECC(100.0%)>ARMI(64.8%)>RF(35.3%)>PPI(0.0%)(图4A)。网状META分析显示,与PPI对照组相比,所有ECSF治疗均降低了患者的GERD-Q评分。在ECSF手术中,PECC表现最好。与ARMI和RF相比,PECC显著降低了GERD-Q评分(图5A)。
2.LES压力
总共有8项研究报告了ECSF后LES压力的变化,涉及三种干预措施:PPI类似物、PECC和RF。没有相关研究报告ARMI后LES压力的变化。证据网络的图 3B 显示,RF组具有最大的节点,代表最大的样本量,而PPI对照和RF节点之间最粗的线段代表纳入文献中比较PPI与RF的研究数量最多。不一致检验(p = 0.098)和节点分裂方法显示研究之间具有良好的一致性且无异质性(p>0.05)。因此,使用一致性模型进行分析。
每种处理的SUCRA为PECC(100.0%)>RF(50.0%)>PPI(0.1%(图4B)。此外,网状META分析显示,与PPI对照组相比,PECC和RF均显著增加了患者的术后LES压力。此外,PECC优于RF,差异有统计学意义(图5B)。
3.AET
7项研究报告了ECSF后AET的变化。图3C中的证据网络显示,PECC组具有最大的节点,PPI对照组和RF组的节点之间线段最粗。不一致检验 (p = 0.283)和节点分裂方法显示研究之间具有良好的一致性且无异质性(p>0.05)。因此,使用一致性模型进行分析。
每次处理的SUCRA分别为ARMI(100.0%)>PECC(66.6%)>RF(50.0%)>PPI(2.9%)(图4C)。网状META分析显示,与PPI对照组相比,ARMI和PECC均降低了术后患者AET的百分比。与RF相比,ARMI与PECC对AET的降低百分比具有统计学意义。此外,高级反应堆建模接口表现出优于PECC的性能(图5C)。
4.DeMeester分数
其中5项纳入的研究报告了ECSF后DeMeester评分的变化。图3D中的证据网络显示,与PPI和PECC组相比,PECC组的样本量和研究数量最大。不一致检验(p = 0.845)和节点分裂方法显示研究之间具有良好的一致性且无异质性(p>0.05)。
每种治疗措施的SUCRA为PECC(74.6.0%)、ARMI(70.7%)、RF(36.3%)和PPI(18.0%)(图4D)。然而,NMA结果显示手术之间没有统计学上的显着差异(图5D)。
5.术后PPI停药率
总共有10项研究报告了ECSF后PPI给药的变化。图3E中的证据网络显示,在比较两组时,PPI对照组和RF组的节点之间具有最大的节点和最粗的线段,分别代表最大的样本量和研究数量。不一致检验(p = 0.468)和节点分裂方法显示研究之间具有良好的一致性且无异质性(p>0.05)。因此,使用一致性模型进行分析。
每种处理的SUCRA分别为PECC(75.1%)、ARMI(73.8%)、R(50.4%)和PPI(0.6%)(图4E)。网状META分析显示,与PPI对照相比,所有三种ECSF手术都显著提高了PPI类似物的停用率并减少了其使用。当比较这三种程序时,差异没有统计学意义(图5E)。
6.患者满意度
6项研究报告了ECSF后患者的满意度。图3F中的证据网络显示,在比较PPI对照组和PECC组时,PECC组的样本量和研究数量最大。使用一致性模型进行分析(p = 0.957)。
每种处理的SUCRA分别为RF(79.7%)>ARMI(73.9%)>PECC(45.9%)>PPI(0.5%)(图4F)。网状META分析显示,ECSF组患者对所有三种手术的满意度均高于PPI对照组。当比较这三种程序时,差异没有统计学意义(图5F)。
7.不良事件
在纳入的研究中,15项报告了ESCF后的不良事件,共占14例严重不良事件(SAEs)。2例(0.47%)发生于PECC后,9例(3.33%)发生RF,3例(2.80%)发生于ARMI后。PECC后SAEs的发生率低于其他两种手术。研究中发生的绝大多数SAEs是胃肠道孔和食管狭窄,经过再内镜治疗和球囊扩张后得到有效控制。此外,ECSF后主要的术后不良事件包括腹痛、胸痛、发热和进食困难,这些不良事件大多较轻,并随着时间的推移而消退。
五、文章小结
本研究最初比较了三种ECSF手术在GERD患者中的临床疗效。结果显示,PECC在提高术后GERD-Q评分、增加LES压力和PPI停药率方面显示出最佳结果,术后SAEs的发生率最低。ARMI在改善食管酸暴露方面最有效。考虑到整体疗效和安全性,PECC是最受欢迎的ECSF手术;但是,应根据患者的具体情况选择最合适的治疗方法。




上一篇:BMI对骨密度的影响,其实藏着‘好’与‘坏’两条路|最新MR研究解读