发布时间: 2025-12-02 01:50:54
一、研究背景
RPL通常定义为在怀孕24周前连续两次或以上的妊娠丢失,影响约1%至3%的有生育能力夫妇。RPL的定义因地区而异;例如,中国共识将怀孕28周前连续两次或以上的妊娠丢失定义为RPL,包括连续的生化妊娠。RPL是一种异质性疾病,受多种风险因素影响,如孕产妇年龄、既往流产次数、异常的父母核型、先天或获得性子宫畸形、自身免疫疾病、血栓前状态、内分泌因素、蜕膜化受损、男性因素和生活方式因素。尽管进行了广泛的诊断筛查,50–70%的病例中PRL的具体病因仍未被确定。RPL定义和发病机制的复杂性和异质性阻碍了诊断和治疗的标准化,导致高流产率,对家庭的生殖健康和心理健康产生不利影响。评估RPL夫妇后续怀孕的流产率以及对高风险个体进行早期筛查,是孕期咨询和管理的关键组成部分。
二、数据来源
我们对2020年1月1日至2022年12月31日期间,上海交通大学医学院仁济医院生殖免疫门诊的所有初次就诊患者进行了回顾性回顾。首次门诊就已怀孕的患者被排除,其余队列随访至2023年8月31日。纳入了在妊娠28周前与同一伴侣经历两次或以上妊娠丢失(包括生化妊娠)的患者。
三、研究方法
对训练队列进行了单变量逻辑回归分析,选择P值为<0.05的变量,并将其纳入多变量逻辑回归,以确定妊娠丢失风险的独立预测因子。利用这些独立预测因子,开发了一种可预测RPL患者妊娠丢失风险的计时图。在训练队列中构建了一个包含年龄和既往流产次数的逻辑回归模型,作为基础模型。随后,通过将七个不同的预测变量整合进基础模型,构建了七个额外的逻辑回归模型。使用DeLong检验评估了这七个模型、列线图和基础模型之间AUC值的差异。此外,还创建了相应的动态列线图,并发布在网页上。该列线图采用10折交叉验证进行评估。利用ROC曲线和AUC值评估了列线图的判别能力。通过500次自助重采样生成了校准曲线,以展示列线图的校准能力。此外,还进行了决策曲线分析(DCA)和临床影响曲线分析(CICA),以展示该计量图的临床效用。DCA根据真阳性和假阳性之间的差值,并加权于所选阈值的风险概率,估算净收益。如果预测性指标的净收益曲线高于“完全治疗”或“无治疗”,且在合理风险阈值内,则该指标被视为临床有用。随后计算患者的诺莫图分数,利用约登指数确定最佳阈值,将患者分为低风险和高风险亚组。皮尔逊卡方检验用于比较训练队列、验证队列及整组患者中低风险和高风险亚组的妊娠结局。
四、主要结果
1.单变量和多变量逻辑回归分析
在训练队列中进行的初始单因素Logistic回归分析确定了若干与妊娠丢失相关的风险因素,包括年龄、既往妊娠丢失次数、既往核型正常胚胎数、狼疮抗凝物(LA)、抗核抗体(ANA)、抗可提取性核抗原抗体(抗-ENA)、抗β2糖蛋白1抗体IgM(aβ2GP1 IgM)、抗心磷脂抗体IgM(aCL IgM)、抗心磷脂抗体IgG(aCL IgG)、抗磷脂酰丝氨酸/凝血酶原复合物抗体IgM(aPS/PT IgM)、抗双链DNA抗体(抗-dsDNA)、花生四烯酸(AA)诱导的血小板聚集率、凝血酶时间(TT)、游离甲状腺素(FT4)、子宫内膜厚度(Em厚度)、子宫内膜收缩期/舒张期血流速度比值(Em S/D)、搏动指数(PI)及收缩期/舒张期血流速度比值(S/D)(P < 0.05)。随后对这些筛选出的风险因素进行多因素Logistic回归分析,最终确定九个独立预测因子纳入最终预测模型,包括年龄、既往妊娠丢失次数、LA、aCL IgM、aPS/PT IgM、抗-dsDNA、AA诱导的血小板聚集率、TT和S/D(表1)。
2.列线图的发展与验证
开发了一个可视化模型,用于预测RPL患者妊娠结局的模型(见图2)。每个预测变量对模型的贡献通过线长的变化表示。我们基于年龄和以往流产次数作为训练队列的基础模型,开发了逻辑回归模型。接着,通过将其他七个预测变量分别纳入基础模型,构建了七个额外的逻辑回归模型。仅基于年龄和既往流产的妊娠丢失预测能力,AUC为0.670。该列线图的AUC优于模型,仅有年龄和既往流产次数(P < 0.001)。加入七个额外预测变量的模型显示出更高的预测准确性。然而,只有加入LA、aPS/PT IgM、抗dsDNA、AA和S/D的模型在AUC值上与基础模型有统计学显著差异(P < 0.05)(见表2)。
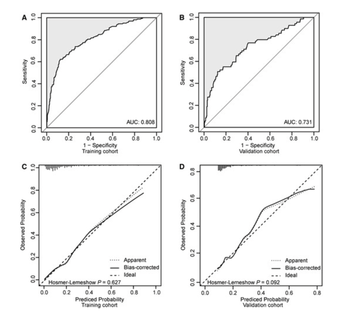
对于该组,训练组的AUC为0.808(95% CI:0.770–0.846),验证队列为0.731(95% CI:0.660–0.802)(见图3A和B)。对于10折交叉验证,每个折的ROC曲线以及所有10个折面的平均ROC曲线一起呈现。模型表现在不同折叠间有所差异,AUC值范围为0.714至0.925,平均AUC为0.795(95% CI:0.750–0.839),表明预测表现稳健。绘制了训练和验证队列的校准曲线,显示实际概率与预测概率之间高度吻合。此外,列线图的校准还采用了Hosmer–Lemeshow(H–L)检验进行评估。H–L检验的P值均超过0.05,显示预测概率与观测概率之间无统计学显著偏差(见图3C和D)。
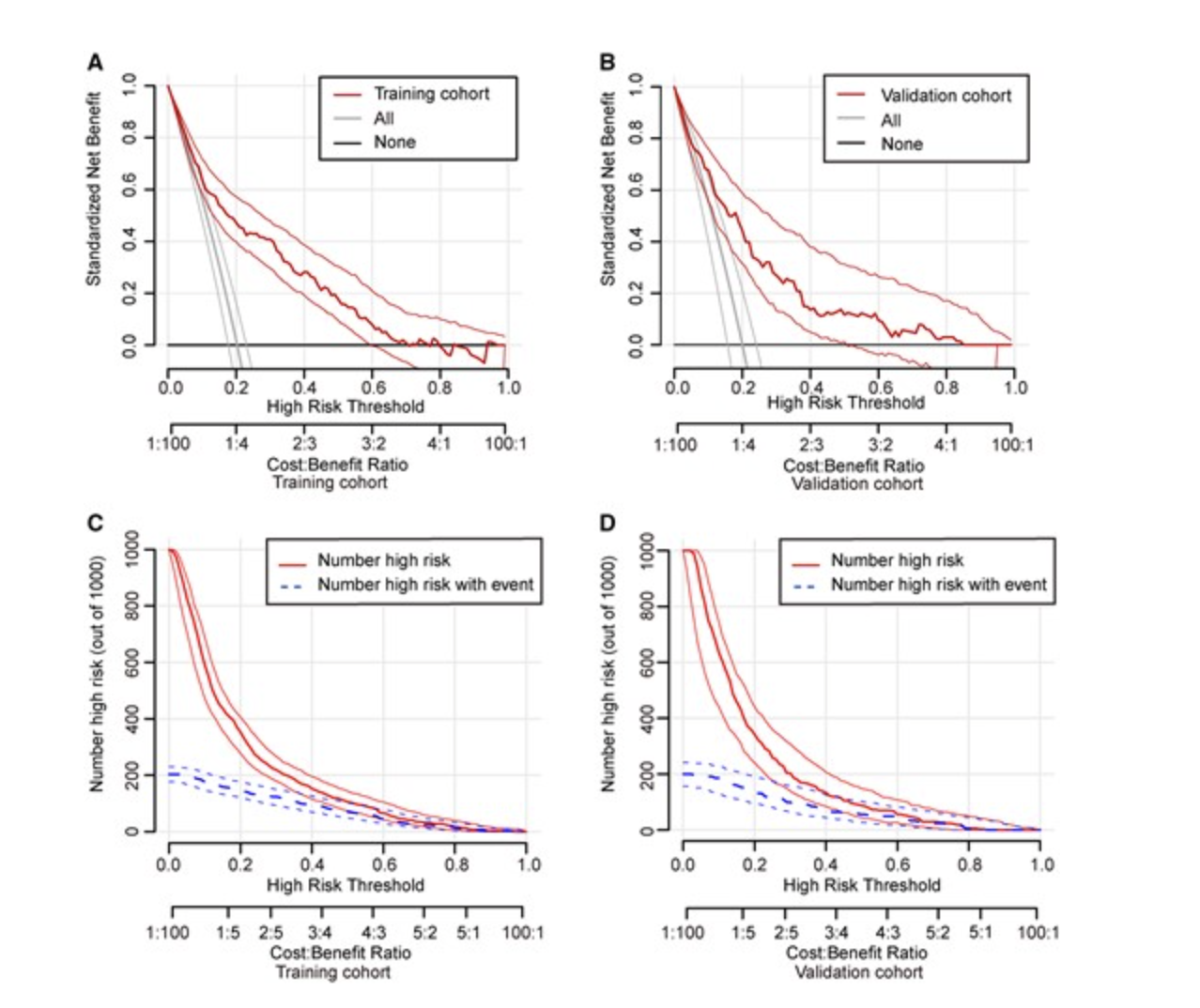
决策曲线清楚表明,在预测RPL患者妊娠丢失方面,该指标相较于“完全治疗”(灰线)或“无治疗”(水平黑色实线)在训练队列的阈值概率范围内,在2%–70%和验证队列6%–85%的阈值范围内,提供了更大的益处(图4A和B)。基于此,还绘制了线表的CICA,估算了不同风险阈值下被归类为高风险个体的数量,并展示了真阳性比例(图4C和D)。
3.风险分层系统
在训练、验证和整体队列中,患者根据风险评分的最佳分界线(114.9分)被分为高风险组和低风险组。根据该列线图,789名得分114.9及以下的患者被评为低风险,其余364人被归类为高风险。低风险组的妊娠丢失率为10%(n=77),高风险组为43%(n=156)(P < 0.001,见图5A–C)。这表明该列线图在根据未来流产风险对PRL患者进行分层方面的有效性。
五、文章小结
我们的研究呈现了一个精心构建的列线图,基于通过多变量逻辑回归识别出的独立风险因素。该列线图是预测RPL患者未来妊娠丢失概率的可靠工具。通过使用列线图进行风险分层,临床医生能够准确识别高风险患者,从而针对这些患者量身定制干预和主动治疗方案。这些针对性方法显著提高了RPL患者成功怀孕的几率。









下一篇:当免疫系统“误伤”妊娠:基因告诉我们流产的另一种原因