发布时间: 2025-09-08 10:06:13
2024年5月20日,在《Reproductive Biology And Endocrinology》上一篇名为“In vitro fertilization outcome based on the detailed early luteal phase trajectory of hormones: a prospective cohort study”的研究论文被发表,本研究确定了血清黄体酮、17-羟孕酮和hCG的早期黄体期特征,以及hCG触发后的激素水平/激素水平特征与接受新鲜胚胎移植的IVF女性活产率之间的关联。
一、研究背景
卵巢刺激和使用人绒毛膜促性腺激素(hCG)触发接受体外受精(IVF)的女性卵母细胞成熟,与自然周期相比,黄体期激素水平存在一些差异,这可能会对子宫内膜容受性和新鲜胚胎移植后的妊娠率产生负面影响。提供外源性黄体期支持以克服这些问题。由于缺乏关于早期黄体激素水平及其与新鲜胚胎移植试管婴儿期间生育结果相关的数据,黄体期支持的实用方法的适用性尚不清楚。
二、数据来源
符合条件的女性年龄在18-38岁之间,有IVF的指征,hCG触发最终卵母细胞成熟和新鲜胚胎移植,并且具有以下条件:体重指数<28kg/m2;卵巢储备正常(刺激前两个月内抗苗勒管激素水平>8.93pmol/L或窦卵泡计数≥6);hCG触发当天有4-19个直径≥14毫米的卵泡;以及用于卵巢刺激的标准促性腺激素释放激素拮抗剂方案。既往卵巢反应不佳(适当促卵泡激素刺激后≤3个卵泡)、触发当天反应亢进(20个直径≥14毫米的卵泡)、多囊卵巢综合征、慢性疾病和/或参加其他临床试验的个体被排除在外。
三、研究方法
使用描述性分析(标准差±平均值、中位数[四分位距]或数量和百分比)分析连续变量和分类变量。首先使用单变量和多变量回归模型检查与活产结果相关的基线特征。随后,应用指定聚类计数为2的K均值聚类方法将测试点分类为不同的剖面。这种方法是一种无监督算法,通过质心的初始选择、将数据点分配给最近的聚类以及质心的迭代更新,直到聚类分配保持稳定,从而有效地形成两个不同的聚类,从而促进将未标记的数据组织成聚类。然后研究个体激素水平和综合激素谱对活产可能性的影响,并评估抗苗勒管激素水平的调整比值比和95%置信区间(CI)值。最后,进行事后分析,比较血清黄体酮和17-羟孕酮水平较低与较高的参与者之间的个体和周期特征,旨在确定不同激素特征的相关因素。
四、主要结果
1. 黄体期早期激素谱
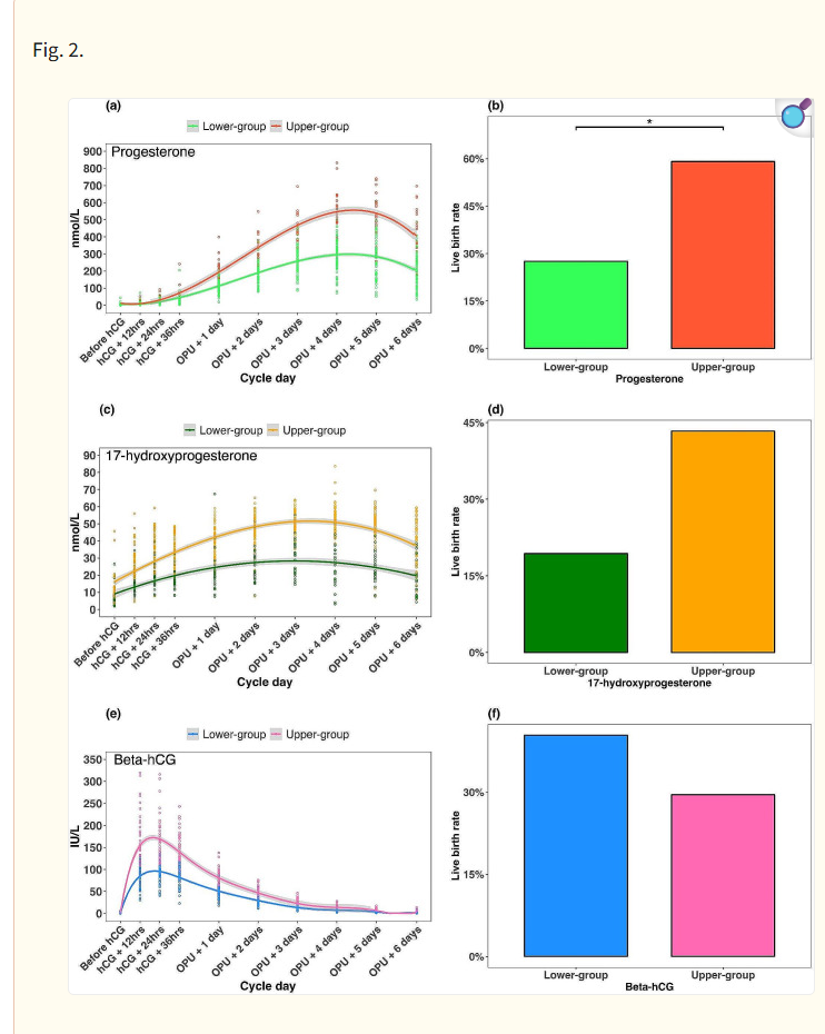
血清黄体酮和17-羟孕酮水平在hCG给药后的第二天开始升高,在卵母细胞拾取后四天达到峰值(分别为366±16nmol/L和44±1.6nmol/L),然后开始下降。最高血清hCG水平为126mIU/mL,在hCG触发后24小时观察到,随后逐渐下降(图1)。
在95名女性中,91名采集了所有10份血样,其中3名在OPU + 6天时错过了样本,1名缺失hCG注射前的样本。因此,在进行K均值聚类时,只有91名女性被聚类到较低和较高的荷尔蒙谱中。69名女性血清黄体酮谱较低,22名女性血清黄体酮水平较低,31名女性血清黄体酮水平较低,60名女性血清黄体酮水平较低,47名女性hCG水平较低,44名女性hCG水平较高。这些亚组随时间变化的血清激素水平如表S2所示。血清黄体酮或17-羟孕酮水平较低与较高的个体之间的一些临床和周期特征存在显著差异,包括抗苗勒管激素水平和窦卵泡计数(表2和3)。
2、活产率
在根据基线抗苗勒管激素水平和移植的好胚胎数量进行调整的分析中,血清黄体酮、17-羟基黄体酮或β-hCG水平与每个时间点的活产之间没有相关性。然而,使用聚类数为两个的K-mean方法,我们综合查看了10个不同时间点的数据,以创建黄体期早期黄体酮、17-羟孕酮和β-hCG水平的一个概况。该分析表明,高血清黄体酮谱组与低血清黄体酮谱组的活产率显着更高,高血清17-羟孕酮组与低血清17-羟孕酮组以及血清β-hCG上组和低血清β-hCG组的活产率没有显着差异(图2)。血清黄体酮激素水平与活产率之间存在显着相关性。
血清黄体酮和血清17-羟孕酮水平较低的个体活产率最低(6/31,19.4%),两种激素水平较高的个体活产率最高(13/22,59.1%);血清黄体酮水平较低且17-羟孕酮较高的女性活产率中等,并且没有参与者的17-羟孕酮/较高黄体酮水平较低(图3)。
19/69名孕激素水平较低的女性(27.5%)和13/22名孕激素水平较高的女性(59.1%)发生活产(风险比2.14;95%CI1.28至3.60)。对于血清17-羟孕酮,6/31的女性活产(19.4%)和26/60的女性(43.3%)(风险比2.24;95%CI1.03-4.86)(图2)。
当血清黄体酮水平在卵母细胞采集后4-5天达到峰值(表S5)和血清17-羟孕酮在卵母细胞采集后3-4天达到峰值时时,活产率最高。
3、与黄体期早期激素水平较低相关的因素
在多变量分析中,与较低黄体酮谱相关的因素是抗苗勒管激素水平、卵母细胞数量、第3天胚胎数量和第3天良好胚胎数量(表2)。在多变量分析中,与较低的17-羟孕酮谱相关的因素是≥14毫米的卵泡数量和良好的第3天胚胎数量(表3)。对于血清黄体酮和17-羟孕酮,在单变量分析中,移植的第3天良好胚胎的数量与较低的激素谱显着相关,但与多变量分析无关(表2和表3)。
五、文章小结
这项研究提供了有关黄体期早期激素谱的详细信息,并首次评估了它们与活产率的关联。开发黄体期支持方法具有巨大的潜力,以确保在最佳时间窗口内有足够的关键激素输出,以提高接受新鲜胚胎移植的体外受精个体的怀孕率和活产率。






上一篇:白质高信号也意味着有阿尔兹海默症的风险——《白质高信号:与淀粉样蛋白和 tau 负荷的关系》